Mách bạn bí quyết chinh phục 9+ điểm thi vào 10 cùng sách cấp tốc 789+, ôn tập hiệu quả cùng bộ đề thi thử vào 10 môn Toán
Năm nào cũng vậy Bộ Giáo Dục và Đào Tạo sẽ tổ chức 2 kỳ thi quan trọng cho học sinh Trung học cơ sở(sau đây viết tắt là THCS) và Trung học Phổ Thông là kỳ thi vào 10 và kỳ thi Trung học phổ thông (sau đây viết tắt là THPT) Quốc Gia. Không thể phủ nhận sức nóng của kỳ thi vào 10 thấp hơn kỳ thi THPT Quốc Gia vì khi các học sinh THPT tấp nập cho kỳ thi quan trọng nhất của của mình thì các em học sinh THCS lại lo lắng khi lần đầu trải qua kỳ thi tập trung giữa các trường trong Huyện. Các em học sinh lớp 9 hầu như chưa định hướng được việc mình cần làm và chuẩn bị cho kỳ thi thì điều này hoàn toàn trái ngược với các bạn học sinh lớp 12 khi các bạn đã có mục tiêu, định hướng lộ trình và phương pháp học rõ ràng. Giúp các em học sinh lớp 9 ôn thi vào 10 dễ dàng hơn và đậu được với điểm cao hơn hôm nay Nhà Sách Ôn Luyện sẽ chia sẻ với các em bí quyết chinh phục 9+ điểm thi vào 10 môn Toán cùng sách cấp tốc 789+
Tham khảo: Học sinh thi vào 10 nên luyện đề khi nào? Đâu là giai đoạn vàng để luyện thi vào 10?

Cuốn sách sẽ tổng hợp toàn bộ lý thuyết, các dạng toán và phương pháp giải cho từng chuyên đề.
Cách học cùng sách cấp tốc 789+ thi vào 10: Link
Để đạt được 9 điểm vô cùng đơn giản các em chỉ cần làm theo 4 bước sau
Bước 1: Học lần lượt từng chuyên đề theo lộ trình đã được ra trong sách
Bước 2: Làm đề thi thử
Bước 3: Tổng hợp lại phần kiến thức còn thiếu sót, các phương pháp mẹo làm bài thi
Bước 4: Bấm giờ và tiếp tục làm đề
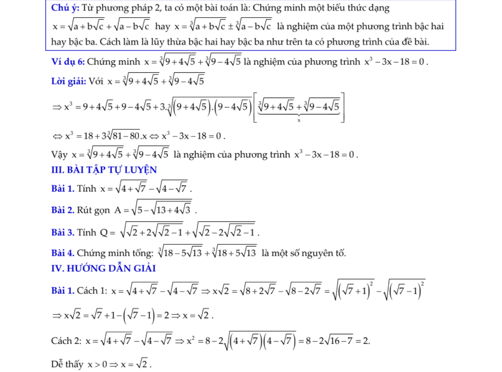
Ví dụ về chuyên đề rút gọn biểu thức






>>>>> Xem tiếp tại đây: Tham khảo ngay
>>>> Ôn tập hiệu quả cùng bộ đề thi thử vào 10 môn: LINK
>>>>> Link tài liệu: Tham khảo ngay